Services - Evidencio

Services

For developers, researchers and startups

Accelerate Market entry

Our streamlined certification process accelerates your medical algorithms to the global market, keeping you ahead of the competition and delivering innovative solutions to healthcare providers and patients.

Fast Certification Process

We provide a comprehensive certification process, assessing your algorithms against international standards like ISO 13485 to ensure top-tier quality and safety.

Lower costs

We reuse the infrastructure and QMS, therefore costs of certification is usually significantly lower than 50% compared to doing it yourself.

Well structured and low risk certification process

Legal manufacturing as a service

Pre-assessment - fixed price starting at € 10k ex VAT
Technical file development - price depending on risk, evidence and intended use identified in pre-assessment
Certification process - price depending on phases 1 and 2 and incurred notified body cost

MDSW marketing and distribution

Marketing / Distribution exclusively by IP holder - IP holder royalties TBD
Marketing / Distribution exclusively by Evidencio - IP holder royalties TBD
Joint Marketing / Distribution - IP holder royalties TBD

MDSW/platform integration and implementation services

EMR integration - hourly rate
MDSW workflow embedding - hourly rate
Data integration - hourly rate

Marketing and distribution scenario’s

Scenario 1 pro's con's

Customer (IP-holder) determines: markets, pricing, delivery, etc.

Scenario 2

Evidencio determines markets, pricing, distribution partners, etc.

Scenario 3

Customer and Evidencio establish use-case/market specific algorithms and processes.

Our services for you

Comprehensive risk assessment and mitigation strategies
Detailed documentation review and validation
Robust testing and verification procedures
Ongoing compliance monitoring and support

Advantages of using Evidencio as your Legal Manufacturer

Additional services

Additionally, Evidencio offers the Algorithm Medical Device Library, and also standardized Electronic Medical Record (EMRs) and 3rd party IT system integration.

Algorithm Medical Device Library

The Evidencio Medical Device Library offers licence subscriptions for access to Algorithms as certified Medical Devices for clinical use. Algorithm subscriptions can be purchased by any Evidencio-Pro subscriber for personal clinical use. If you are looking to license any (bundle of) Medical Device Library algorithm for your hospital, institute, company, or organization.

Get in touch with our sales staff

EMR/EHR integration

Evidencio’s Medical Device Algorithms can be integrated into the most widely used EMRs/EHRs. By making use of (open) standards based integrations such as HL7 FHIR and CDS Hooks, our algorithms can be seamlessly integrated into clinical workflows and patient charts.

Please contact us for more information.

3rd party IT system integration

Evidencio’s Medical Device algorithms can also be used by e.g. Mobile App or Care Path Software Developers. This enables the creation of medical grade applications without ‘contaminating’ the whole software system as a medical device.

Contact us to find out more!

Why choose the Evidencio algorithm Medical Device Library?

Quality and certification: The Evidencio Medical Device Library features only CE-marked algorithms, ensuring compliance with the highest European standards for safety and performance. Each algorithm is rigorously vetted for accuracy and reliability.

Versatile Access: Whether you need web-based algorithms for quick access or fully integrated solutions within your EMR system, Evidencio provides flexible deployment options to suit your unique needs.

Scalable and Sustainable: The Evidencio platform is designed for optimal stability and ease of use, ensuring that you can rely on our algorithms in critical clinical settings. With intuitive interfaces and robust support, you can integrate our solutions effortlessly into your workflow.

Wide Range of Applications: From diagnostic tools and treatment planning to predictive analytics and patient management, Evidencio offers a comprehensive suite of algorithms tailored to meet the diverse needs of the healthcare industry.

Trusted by Healthcare Leaders: Join the ranks of leading hospitals, healthcare providers, and ISVs who trust the Evidencio Medical Device Library to enhance their clinical decision-making and improve patient outcomes.

Key features

Multiple integration options
Available as web-based tools or integrated directly into EMR systems.
User-Friendly Platform
Easy navigation and stable performance tailored for healthcare environments.
Expert Support
Dedicated support team to assist with integration and ongoing usage.

Algorithm Development & Validation services

Evidencio can assist you and your research team in responsibly developing a new algorithm based on e.g. your study population, historical data, etc. Also we can provide you and your peers in the scientific community with tools to quickly perform algorithm validations, or perform algorithm validations for or with you.

Evidencio has ample experience in responsible algorithm development. We can assist you in avoiding common pitfalls to assure that your work yields unbiased and powerful predictive tools. We advise you to at least consider the TRIPOD and PROBAST methodologies.

Please contact us if you would like to know more, we’d be happy to share our experiences.

Discrimination

Rows included
1000
C-index
0.705 | 95% CI: 0.6707 - 0.7399 ROC
Brier score
0.19
Scaled Brier score
0.049

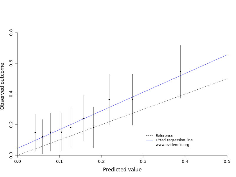
Calibration

Regression coefficient
0.602
Intercept
0.127
Hosmer-Lemeshow GOF
< 0.001

Classification plot

Classification plot

Calibration plot

Calibration plot

Histogram

Histogram

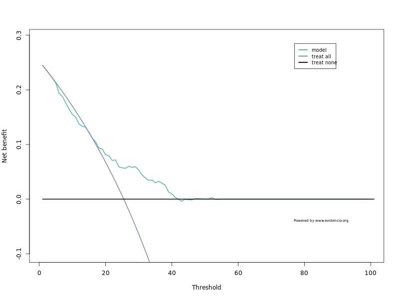
Decision curve

Decision curve

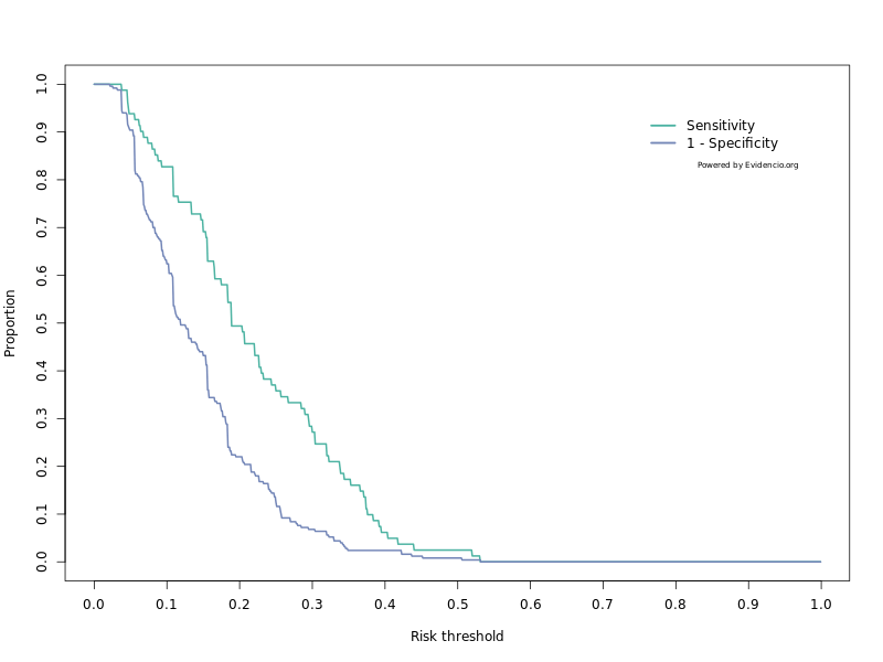
ROC Plot

ROC Plot

Platform use

Free use

The Evidencio platform is free to use for personal and academic use. We've developed the Evidencio platform based on the idea that it can be delivered as a free service, as long as your use of our services isn't on behalf of any third party, intended to provide a service or make money. In other words, you're more than welcome to use our services for free, for your own personal, academic or other non-commercial use.

Licensing & Subscriptions

If your intended use of Evidencio does not match our free use conditions, for example if you do intend to use Evidencio as part of a healthcare process in a hospital, Evidencio offers fair subscription and licensing options. It is our aim to provide fair pricing and conditions for use of the Evidencio platform for a wide range of commercial use cases and value chains.

Features, Use-case & Licensing table

Personal, Academic & Non-Commercial use Clinical & Commercial use
Guest
Free
User
Free
Contributor ★★
Free
Professional ★★★
€ 9,99 p. month
Team & Enterprise
Ask quotation
Use public algorithms
Embed public algorithms ★★★★
Research request
Save favorite algorithms
Web & App
Share prediction algorithms
Use shared & private algorithms
Use sequential algorithms
Provide Feedback & Reviews
Create prediction algorithms
Create composite algorithms
Validate algorithms
Publish algorithms & validations
Use API On request On request ★★★★
Patient-specific reports
3/day 5/day,
Your algorithms: Unlimited
Embed private algorithms ★★★★
Create sequential algorithms
Use licensed algorithms
Team & Department features
EHR integration
Sign Up Buy Pro subscription Contact us
A 'User' is anyone with a free Evidencio subscription that has not yet contributed to the Evidencio community with either a 'public' prediction algorithm or a 'public' validation.
★★
A 'Contributor' is anyone with a free Evidencio subscription that has contributed to the Evidencio community with either a 'public' prediction algorithm or a 'public' validation.
★★★
A 'Professional' subscription is a personal subscription. Listed prices are excl. any applicable Taxes.
★★★★
Only non-commercial embed & API-use is permitted for personal subscriptions.

Professional Services

Please get in touch to discuss a fitting proposition or to get connected to a certified reseller.

Content Licensing

A content licensing subscription opens up possibilities for you to license your (institutional-) intellectual property (IP) for use through the Evidencio platform. You can license your IP for use by all Evidencio users or a specific subset users, for free or at a fair price.

Please get in touch for detailed information.

Your use of the websites, applications, apps or services provided by Evidencio is subject to our Terms & Conditions

Evidencio v3.40 © 2015 - 2026 Evidencio. All Rights Reserved